AG真人娱乐
首页
关于AG真人娱乐
产品中心
科技立异
新闻中心
效劳与支持
人才招聘
联系AG真人娱乐
产品中心
Our Product
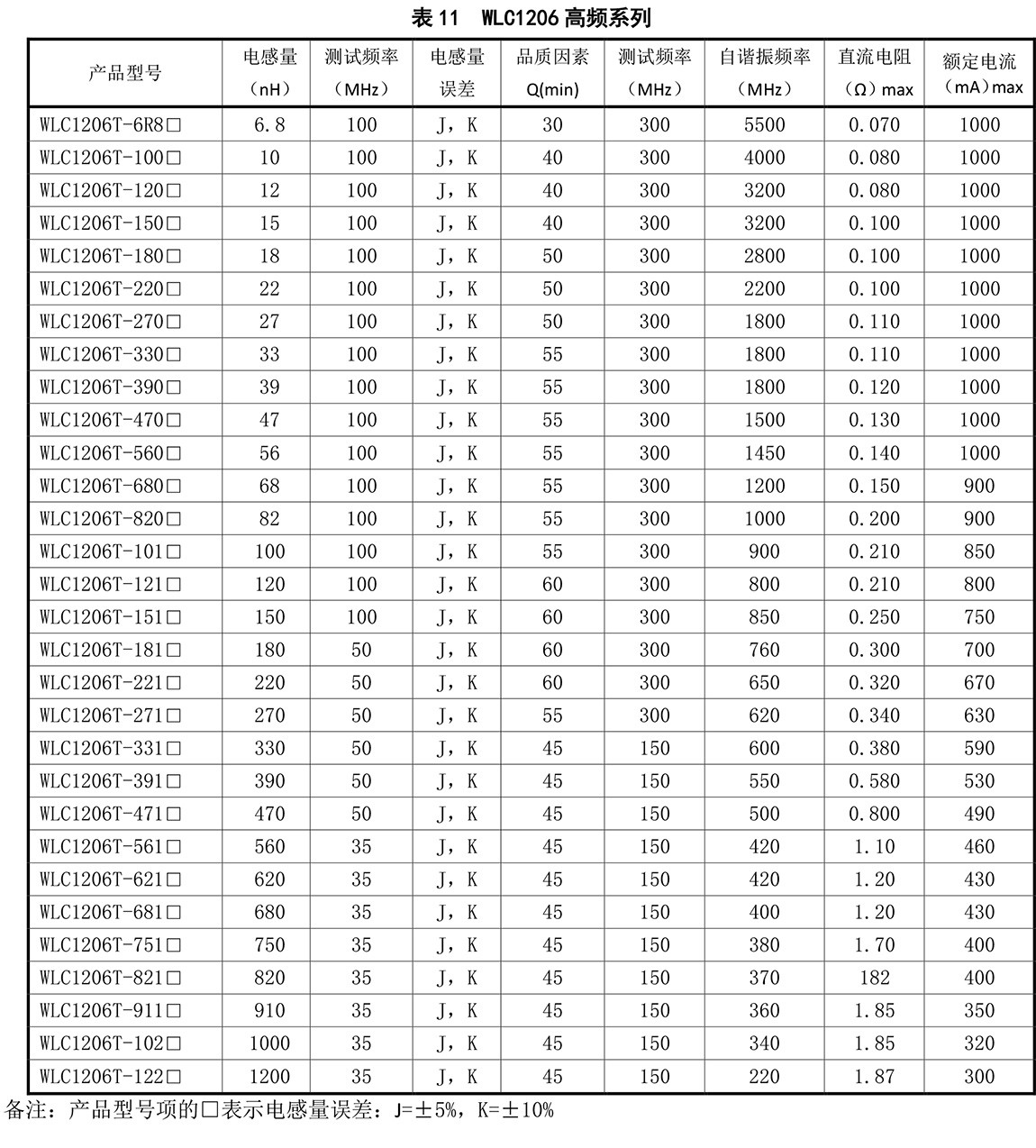
片式电感器
预定用途:体积小、重量轻;顺应载流焊与回流焊;电性能稳固,可靠性高;装配本钱低,并与自动装贴装备匹配;机械强度高,高频特征优越。
在线咨询
产品形貌
【网站地图】
【sitemap】